How Bridge Loans Are Structured Without Amortization
When you’re buying a new property before selling your current one, or need short-term funding to “bridge” a financial gap, […]
When you’re buying a new property before selling your current one, or need short-term funding to “bridge” a financial gap, […]
When you take out a loan—whether it’s a mortgage, car loan, or student loan—you’ll usually receive an amortization schedule. This
Fixed-rate loans are among the most popular ways to borrow money for big purchases like homes, cars, or even personal
Amortization is a key financial concept that helps students connect math to real-world scenarios like buying cars, paying for college,
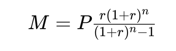
Amortization is the process by which loan payments are spread out over time, allowing borrowers to gradually pay off both
A graduated repayment plan is a loan repayment strategy where your payments start low and gradually increase at set intervals,
Interest-only loans work differently from traditional amortizing loans, and it’s important to understand what that means for your repayment schedule
Positive Amortization Definition: Most common in standard loans, positive amortization occurs when each loan payment covers all the interest due
1. What Is Inflation? Inflation is the general increase in prices over time, reducing the purchasing power of money. For
Paying off a loan early doesn’t have to mean doubling your payments or winning the lottery. The secret lies in